汽車顯示屏老化箱對屏幕加速老化試驗,按性質可分為儲存壽命試驗和工作壽命試驗,工作壽命試驗是指在規定的正常工作條件下對產品進行試驗。為了縮短試驗周期,通過加大應力的方法促使投試產品在短時期內失效,從而預測產品總體在正常工作條件下的壽命。下面,我們對對屏幕加速老化的時間換算,做個簡單講解。
屏幕加速老化的時間換算:
試驗設備:環儀儀器 汽車顯示屏老化箱
汽車顯示屏的工作環境溫度是非恒定的,而是在一定的溫度范圍內分布。在根據零部件使用位置獲取到溫度分布數據后,應用來計算高溫加速壽命試驗的持續時間。溫度分布數據格式如下表所示。
對于Tfield,1、Tfield,2、…、Tfield,i各個現場工作溫度,可以通過下式來計算各個現場工作溫度下的加速因子。
式AFT,i中:
AFT,i———現場工作溫度Tfield,i的加速因子;
Ea———激活能,單位為e V,德國大眾汽車標準推薦值為0.45eV
Ttest———試驗用測試溫度,通常取最大工作溫度,單位為℃;
Tfield,i———根據溫度分布得出的現場工作溫度,單位為℃;-273.15℃為絕對零度。
對于顯示屏已經有明確的可靠性目標(即現場實際使用的期望時間壽命tfield),通過上式AFT,i求出各個現場工作溫度對應的加速因子和上表中的各個溫度分布所占百分比即可以計算在此測試溫度下進行高溫加速耐久試驗的試驗時間。
式中:
ttest———高溫耐久試驗的試驗時間;
Pi———現場使用時零部件運行在溫度Tfield,i的時間占全部運行時間的百分比。
老化時間換算實例:
以某汽車高清顯示屏為例,其聲稱的工作范圍為-40~85℃,溫度分布如下表所示。
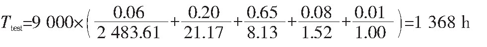
系統設計可靠性為現場正常運行9 000 h。進行高溫加速壽命試驗時,取試驗溫度Ttest為最高工作溫度85℃,則可根據式AFT,i計算各個溫度下的加速因子,得AT,1=2 483.61、AT,2=21.17、AT,3=8.13、AT,4=1.52、AT,5=1.00。再根據個溫度所占百分比,應用式ttest計算高溫加速試驗所需的工作時間如下:
因此,在進行高溫加速壽命試驗時,零部件工作時間為1 368 h。另外,在試驗時通常零部件在典型運行模式47 h和休眠模式1h之間交替循環,每次試驗采用6個零部件同時進行。在試驗前、中、后進行性能參數測試,以判定零部件是否失效。
如有汽車屏幕老化試驗疑問,可以咨詢環儀儀器相關技術人員。














